Педагогика » Разработка элективного курса "Кинематика" для учеников средних общеобразовательных учебных учреждений » Разработка системы оценивания знаний учащихся

Разработка системы оценивания знаний учащихся

Страница 6

Решение

Прямое решение этой задачи подразумевает исследование на экстрем} функции двух переменных: "зеркало" можно расположить на произвольнс высоте, например меньшей Ъ, и ориентировать его под произвольным углом интервале от О до тс/2. Необходимые математические преобразоваю оказываются весьма громоздкими. Между тем можно предложить простс решение этой задачи, основанное на использовании свойства обратимост механического движения, которое вообще не требует никаких математически выкладок и заключается в следующем. Уравнения динамики консервативны: систем не меняются при замене t—»-t. Отсюда следует, что движение ; потенциальном поле обратимо: при обращении скорости движения в какой либо момент времени (5->-о) тело движется вспять по той же сами траектории, причем на прохождении всех ее участков затрачивается то ж< самое время, что и при движении в «прямом» направлении, a i соответствующих точках траектории при движении в «прямом» и «обратном) направлениях модули скорости одинаковы.

Решим вспомогательную задачу: под каким углом нужно бросить тело с начальной скоростью, чтобы дальность его полета по горизонтали была максимальной?

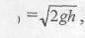
Ответ прост: нужно бросить под углом тс/4 к горизонту, тело улетит на расстояние

В точке падения тела на землю устанавливаем «зеркало» так, чтобы скорость тела после отражения оказалась направленной вертикально вверх. Тело поднимается на высоту h. Полученная траектория и является оптимальной для условия исходной задачи.

Действительно, пусть при расположении «зеркала» в какой-либо другой точке тело улетит по горизонтали дальше, чем в только что рассмотренном случае. На землю тело упадет при этом с той же скоростью

Тогда обратив эту траекторию, можно заставить тело проделать по горизонтали большой путь при той же начальной скорости, чем тот который найден при решении вспомогательной задачи. Но это не возможно так как найденный во вспомогательной задаче путь является наибольшим и: возможных и реализуется он при движении по единственной найденной нами траектории.

Способ рационального выбора системы отсчета

Задача 1

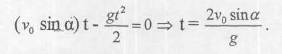
Одновременно из одной точки брошены два тела с одинаковой по модулю скоростью Vo: первое вертикально вверх, второе -под углом а к горизонту. В дальнейшем они двигались поступательно. Определить скорость второго тела в момент времени, когда второе тело будет находиться в точке А, достигнув половины своей максимальной высоты полета. Сопротивлением воздуха пренебречь.

Решение

Задача 2

По поверхности стола движется с постоянной скоросты черная доска. По доске движется кусок мела, пущенный по ней так, что начальный момент скорость мела относительно стола перпендикулярн скорости доски. Какой формы след оставит мел при своем движении?

Решение

В системе координат, движущейся относительно поверхности стола с тог же скоростью V, что и доска, мел имеет скорость U' = U-V. Так как сила трения направлена противоположно вектору U', то направление скорости мела меняться не будет. Будет изменяться лишь абсолютное значение скорости мела. Это означает, что мел прочертит прямую линию, идущую под углом к вектору V

Задача 3

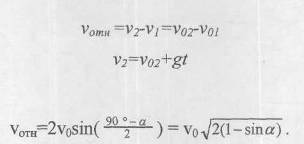
Из точек А и В, находящихся на одной горизонтальной прямой, одновременно бросили два камня с одинаковыми по модулю скоростями V0=20 м/с. Один из них полетел по навесной траектории, а другой по настильной и каждый упал в точку старта другого камня. Известно, что угол бросания а камня из точки А составляет 75°. Через какое время после бросания расстояние между камнями станет минимальным? Чему равно это расстояние?

Решение

Рассмотрим полет камня, брошенного из точки А:

Расстояние L между точками Аи В равно:

Страницы: 1 2 3 4 5 6 7 8 9

Похожие публикации:

Средства развития интегративного качества "физически развитый, овладевший основными культурно-гигиеническими навыками"
Физическое развитие – это процесс изменения форм и функций организма человека. В узком значении – обозначает антропометрические и биометрические показатели: рост, масса тела, окружность грудной клетки, жизненная емкость легких, характер и величина изгибов позвоночника и др. В широком понимании в не ...

Психолого-педагогические особенности развития интеллектуальных способностей детей
Интеллект (от латинского слова intellectus – разумение, понимание, постижение) в психологической науке рассматривается как «относительно устойчивая структура умственных способностей индивида». В психологической науке выделяют ряд теоретических подходов к трактовке природы интеллекта, одним из них я ...

Организация работы по формированию у младших школьников умения оценивать творческие работы
В ходе формирующего эксперимента было выделено два этапа: подготовительный и основной. Подготовительный этап предполагал овладение учащимися содержанием оценочной деятельности в процессе работы над сочинением и изложением и включал: 1) ознакомление учащихся с содержанием оценочной деятельности (кри ...

Факторы адаптации детей в школе

Современное общество заинтересовано сохранить и улучшить здоровье человека. Эта проблема является одной из главных.

Категории

Copyright © 2025 - All Rights Reserved - www.pedagogyflow.ru